Ответы
Ответ дал:
0
а)х квадрате *(3+х)
б)4(2х-1)*(2х+1)
в)(2+х)*(х+3)
б)4(2х-1)*(2х+1)
в)(2+х)*(х+3)
Ответ дал:
0
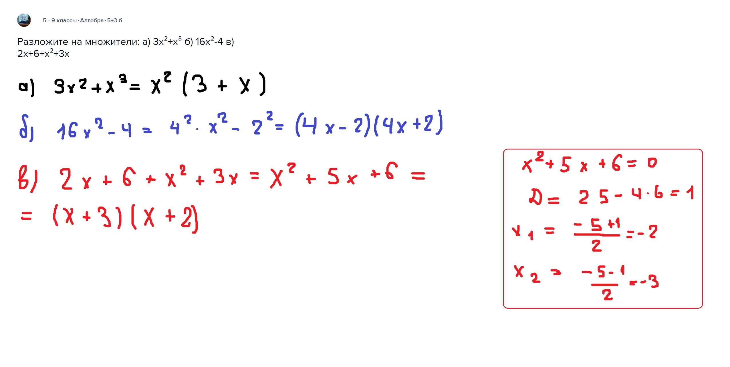
Готово! Ответ на фото:
Приложения:

Вас заинтересует
2 года назад
2 года назад
3 года назад
3 года назад
9 лет назад
10 лет назад