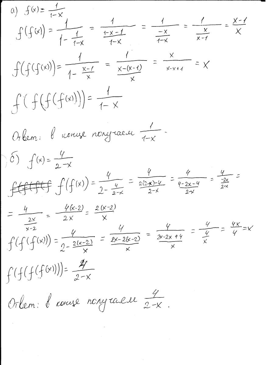
Найдите f(f(f(f(x)))) , если :а) f(x)=1/1-x б) f(x)=4/2-x людиНайдите f(f(f(f(x)))) , если :
а) f(x)=1/1-x
б) f(x)=4/2-x
люди помогите пожалуйста!!!! очень срочно надо!!!
Ответы
Ответ дал:
0
Ответ написан в файле. В конце получается исходное выражение
Приложения:

Вас заинтересует
2 года назад
2 года назад
8 лет назад
10 лет назад
10 лет назад
10 лет назад