• Предмет: Алгебра
  • Автор: dima07792
  • Вопрос задан 11 лет назад

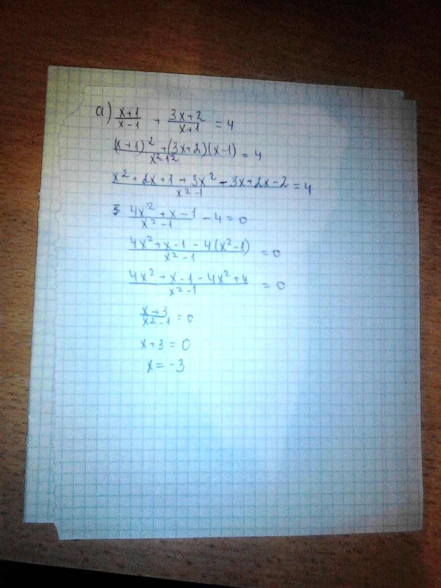
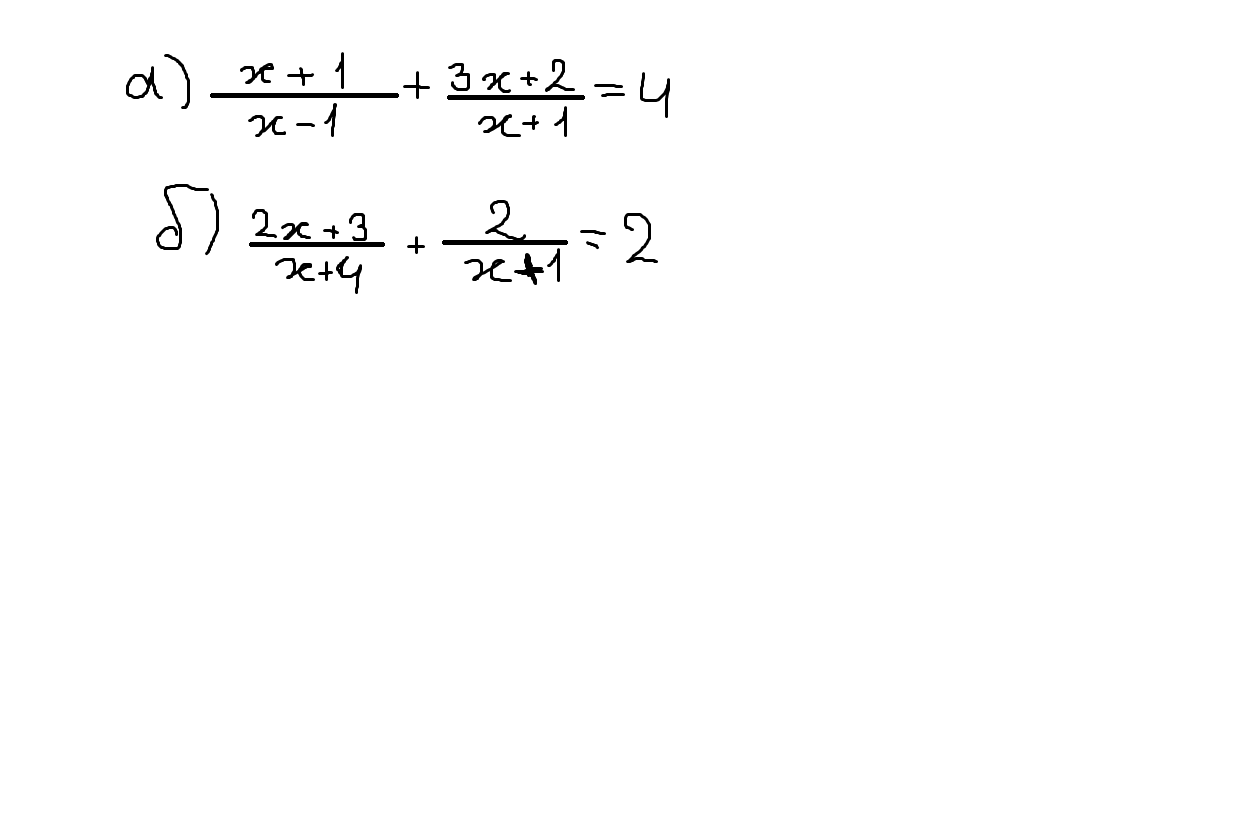
Решите пожалуйста !!!! Помогите!!!! Прошу вас !!! решите уравнения ниже на картинке.

Приложения:

Ответы

Ответ дал: СтасияЗотик
0
сейчас второе решу......
Приложения:
Ответ дал: dima07792
0
СПАСИБО БОЛЬШОЕ :*
Ответ дал: СтасияЗотик
0
все решила
Вас заинтересует