• Предмет: Геометрия
  • Автор: persikovikot
  • Вопрос задан 11 лет назад

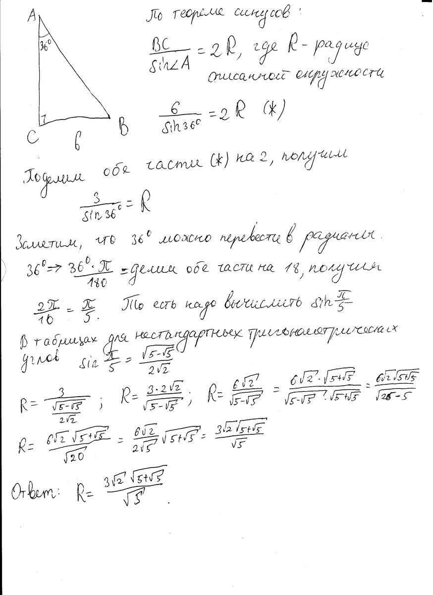
Треугольник АВС остроугольный угол А = 36градусов, ВС = 6. Найти радиус описанной окружности! Нужно решение!

Ответы

Ответ дал: bearcab
0
Решение во вложениях.
Приложения:
Вас заинтересует