• Предмет: Математика
  • Автор: вика4018
  • Вопрос задан 9 лет назад

Пожалуйста решите.
Как можно быстрее

Приложения:

Ответы

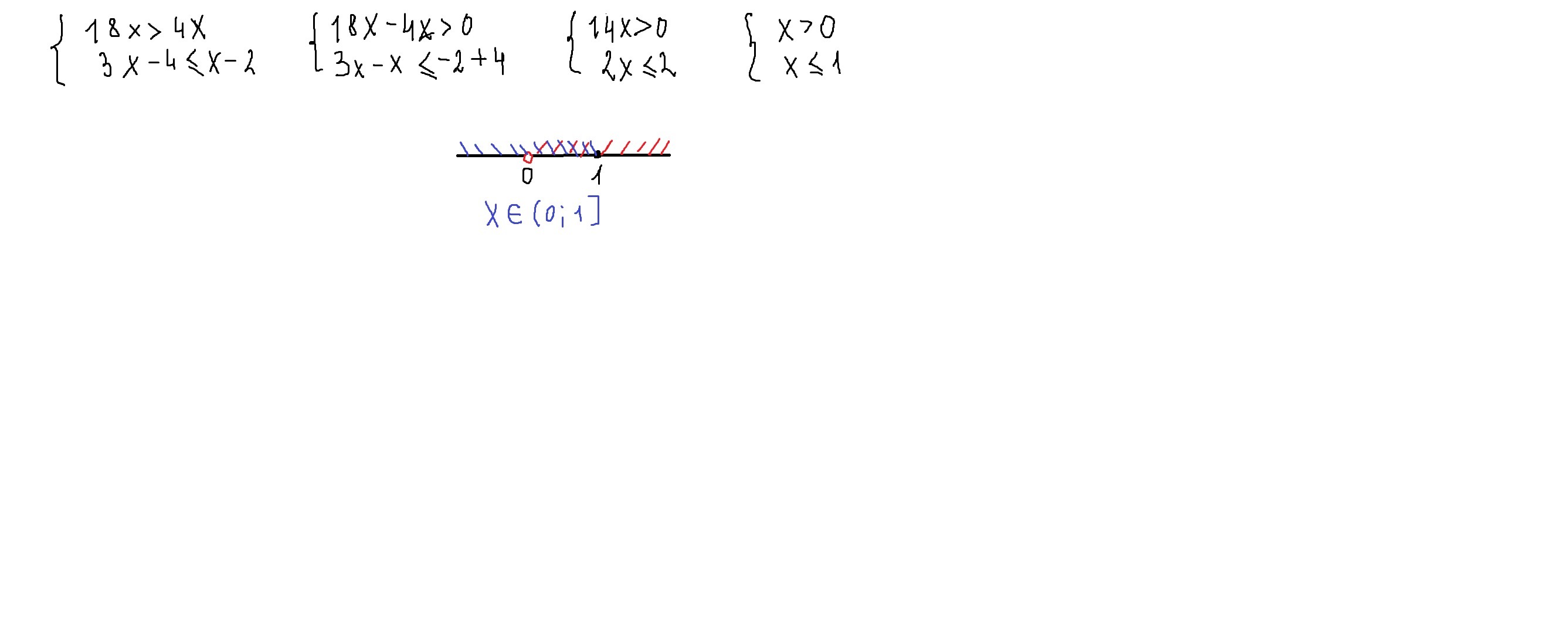
Ответ дал: parus77
0
решаем как уравнение,только ставим знаки неравенства
Приложения:
Вас заинтересует