• Предмет: Математика
  • Автор: maximaivchenk
  • Вопрос задан 11 лет назад

Решите плис, нифига не получаеться

Приложения:

Ответы

Ответ дал: Yena
0
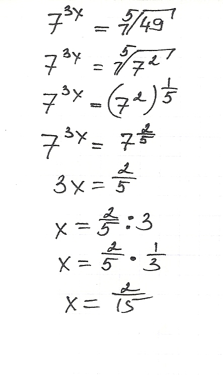
7^{3x}=sqrt[5]{49}\
7^{3x}=sqrt[5]{7^2}\
7^{3x}=(7^2)^frac{1}{5}}\
7^{3x}=7^{frac{2}{5}}\
3x=frac{2}{5}\
x=frac{2}{5} : 3\
x=frac{2}{5} *frac{1}{3}\
x=frac{2}{15}
Приложения:
Ответ дал: maximaivchenk
0
Спасибоо=))
Вас заинтересует