• Предмет: Математика
  • Автор: maximaivchenk
  • Вопрос задан 11 лет назад

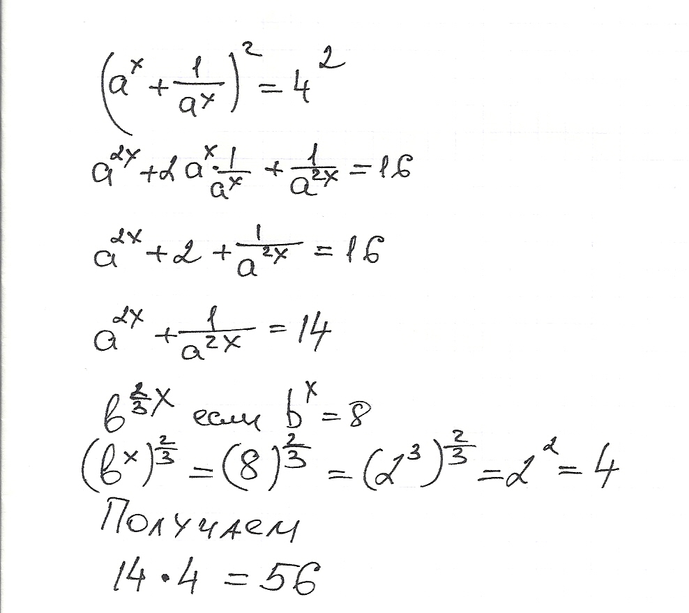
Решите плис, я ваще хз как это делается 

Приложения:

Ответы

Ответ дал: Yena
0
готово.........................................................
Приложения:
Вас заинтересует