Ответы
Ответ дал:
0
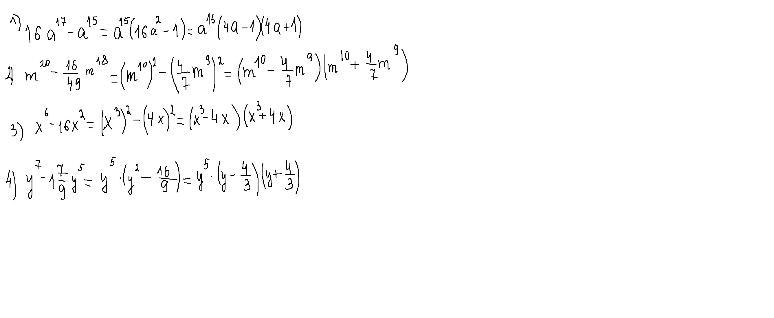
применяем формулу а²-в²=(а-в)(а+в) или выносим общий множитель за скобки
Приложения:

Вас заинтересует
2 года назад
2 года назад
3 года назад
3 года назад
9 лет назад
9 лет назад
10 лет назад