Ответы
Ответ дал:
0
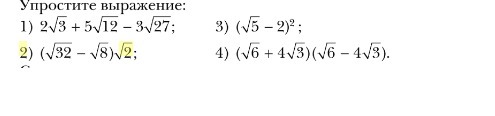
1)2√3 +10√3-9✓3=3√3
2)(4√2-2√2)√2=√2√2√2=2×2=4
3)5-4√5+4=9-4√5
4)6-16×3=6-48=-42
2)(4√2-2√2)√2=√2√2√2=2×2=4
3)5-4√5+4=9-4√5
4)6-16×3=6-48=-42
Вас заинтересует
2 года назад
2 года назад
3 года назад
3 года назад
9 лет назад
10 лет назад