• Предмет: Алгебра
  • Автор: iravlasenko03
  • Вопрос задан 9 лет назад

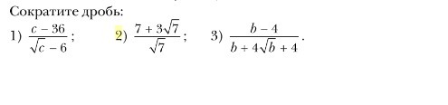
Сократите дроби!!!!!!!!!!!!!!!!!!!!!!!!!!!!!!!!!!!!!!!!!!!!!!!!

Приложения:

Ответы

Ответ дал: Universalka
0
 frac{c-36}{ sqrt{c}-6 } = frac{( sqrt{c}) ^{2} -6 ^{2}  }{ sqrt{c}-6}= frac{( sqrt{c}-6)( sqrt{c} +6) }{ sqrt{c} -6}= sqrt{c} +6

 frac{7+3 sqrt{7} }{ sqrt{7} }= frac{( sqrt{7}) ^{2} +3 sqrt{7}}{ sqrt{7} }=  frac{ sqrt{7}( sqrt{7}+3)  }{ sqrt{7} }= sqrt{7} +3

 frac{b-4}{b+4 sqrt{b}+4 }= frac{( sqrt{b}) ^{2}-2 ^{2}}{( sqrt{b}) ^{2}+4 sqrt{b} +2 ^{2}}= frac{( sqrt{b}-2)( sqrt{b} +2) }{( sqrt{b}+2) ^{2}}= frac{ sqrt{b} -2}{ sqrt{b} +2}
Вас заинтересует