• Предмет: Математика
  • Автор: nikgul
  • Вопрос задан 9 лет назад

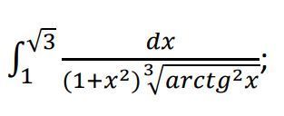
Найти определенный интеграл.
Помогите пожалуйста!

Приложения:

Ответы

Ответ дал: Tanda80
0
Вносим 1/(1+х^2) под знак дифференциала и приходим к интегралу от степенной функции.
Приложения:
Вас заинтересует