Ответы
Ответ дал:
0
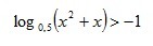
одз: x²+x>0
x(x+1)>0
x=0 x=-1 x∈(-∞;-1)∪(0;+∞)
㏒0,5(x²+x)>-1×㏒0,5(0,5)
㏒0,5(x²+x)+㏒0,5(0,5)>0
㏒0,5(0,5×(x²+x))>㏒0,5(1)
0<0,5<1 0,5(x²+x)<1
x²+x-2<0
x1+x2=-1 x1×x2=-2 x1=-2 x2=1
на промежутке (-2;1) выражение будет <0
учитывая одз получим x∈(-2;-1)∪(0;1)
x(x+1)>0
x=0 x=-1 x∈(-∞;-1)∪(0;+∞)
㏒0,5(x²+x)>-1×㏒0,5(0,5)
㏒0,5(x²+x)+㏒0,5(0,5)>0
㏒0,5(0,5×(x²+x))>㏒0,5(1)
0<0,5<1 0,5(x²+x)<1
x²+x-2<0
x1+x2=-1 x1×x2=-2 x1=-2 x2=1
на промежутке (-2;1) выражение будет <0
учитывая одз получим x∈(-2;-1)∪(0;1)
Вас заинтересует
2 года назад
2 года назад
3 года назад
3 года назад
9 лет назад
10 лет назад