Ответы
Ответ дал:
0
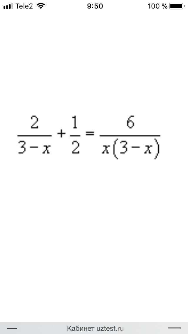
(2)/(3-х) + 1/2 = (6)/(х(3-х))
х не может быть равен 3 и 0
(2)/(3-х) - (6)/(х(3-х)) = 1/2
(2х-6)/(х(3-х)) = -1/2
(2(х-3)) / (х(-(х-3)) = -1/2
(2•(-1)) / (х) = -1/2
-2/х = -1/2
-4 = -х
х=4
х не может быть равен 3 и 0
(2)/(3-х) - (6)/(х(3-х)) = 1/2
(2х-6)/(х(3-х)) = -1/2
(2(х-3)) / (х(-(х-3)) = -1/2
(2•(-1)) / (х) = -1/2
-2/х = -1/2
-4 = -х
х=4
Вас заинтересует
2 года назад
2 года назад
3 года назад
9 лет назад
9 лет назад
10 лет назад