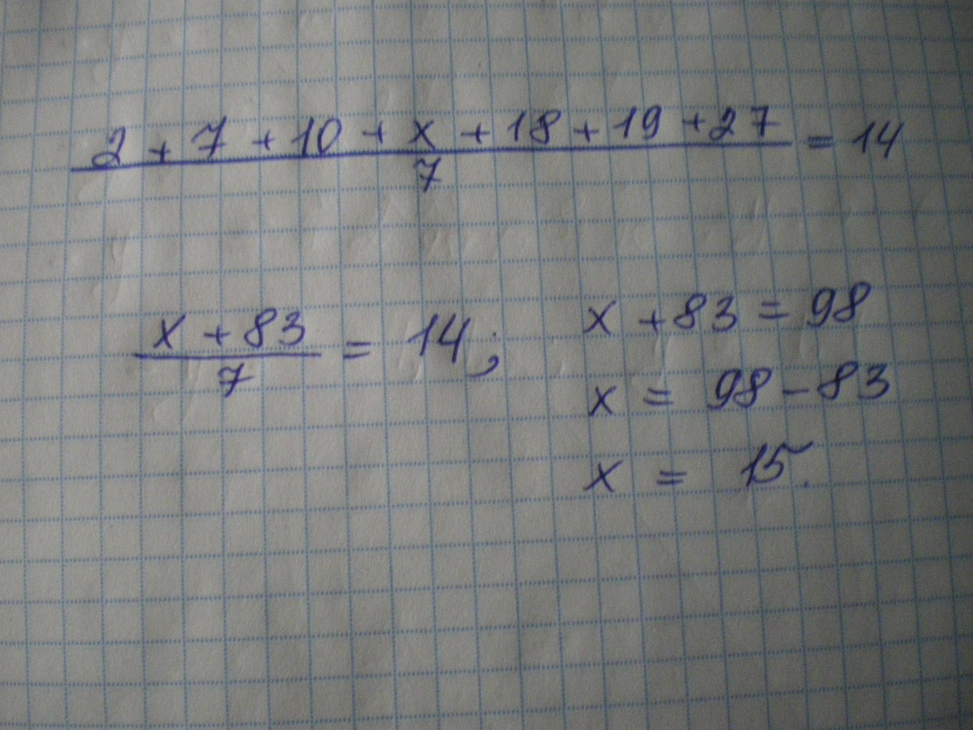
в ряду чисел 2, 7, 10, х, 18, 19, 27 одно число неизвестно. найдите его, зная, что среднее арифметическое ряда равно 14
Ответы
Ответ дал:
0
Ответ:
х=15
Объяснение:
Приложения:

Вас заинтересует
2 года назад
2 года назад
8 лет назад
10 лет назад
10 лет назад