Ответы
Ответ дал:
0
вот ответ я решил но незнаю правильно или нет
Приложения:

Ответ дал:
0
Спасибо, но я уже решила, да правильно)
Ответ дал:
0
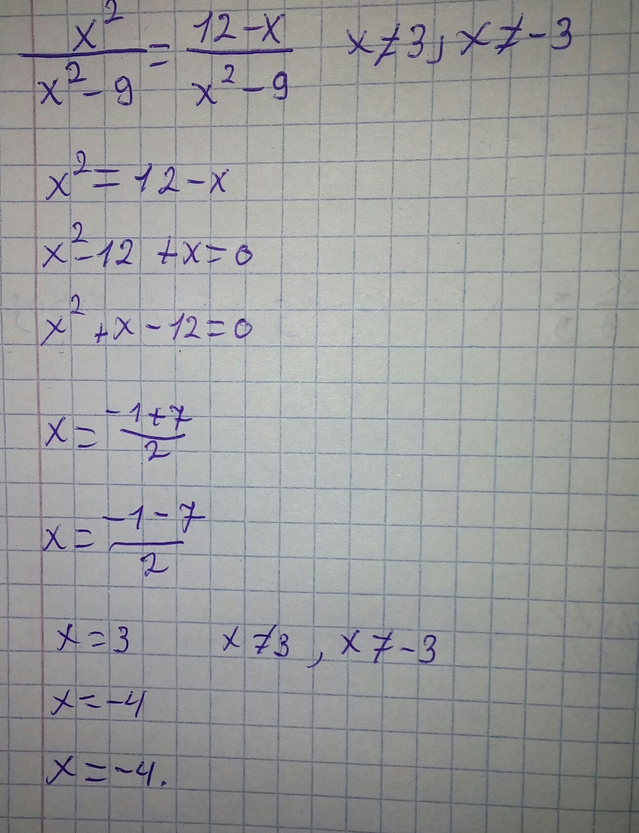
х≠3 ;х≠-3
x^2=12-x
x^2-12+x=0
x^2+x-12=0
D=1-4*1*(-12)=49=7^2
x1=3
x2=-4
ответ:-4
x^2=12-x
x^2-12+x=0
x^2+x-12=0
D=1-4*1*(-12)=49=7^2
x1=3
x2=-4
ответ:-4
Приложения:

Вас заинтересует
2 года назад
9 лет назад
9 лет назад