Ответы
Ответ дал:
0
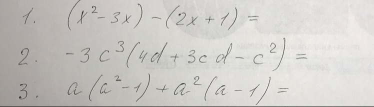
1)x^2-3x-2x-1
x^2-5x-1
2)-3c^3*4d-3c^3*3cd-3c^3*(-c^2)
-12c^3d-9c^d+3c^5
3)a(a^2-1+a(a-1))
a(a^2-1+a^2-a)
a(2a^2-1-a)
a(2a^2-a-1)
a(2a^2+a-2a-1)
a(a-1)(2a+1)
x^2-5x-1
2)-3c^3*4d-3c^3*3cd-3c^3*(-c^2)
-12c^3d-9c^d+3c^5
3)a(a^2-1+a(a-1))
a(a^2-1+a^2-a)
a(2a^2-1-a)
a(2a^2-a-1)
a(2a^2+a-2a-1)
a(a-1)(2a+1)
Вас заинтересует
2 года назад
2 года назад
3 года назад
9 лет назад
9 лет назад
10 лет назад