Ответы
Ответ дал:
0
а) (3х-5)²-х²=(3х)²-2*3х*5+5²-х²=9х²-30х+25-х²=8х²-30х+25
посмотри внизу,я же по казахски не понимаю и по последнему заданию подумала,что надо все таки разложить на множители применив формулу
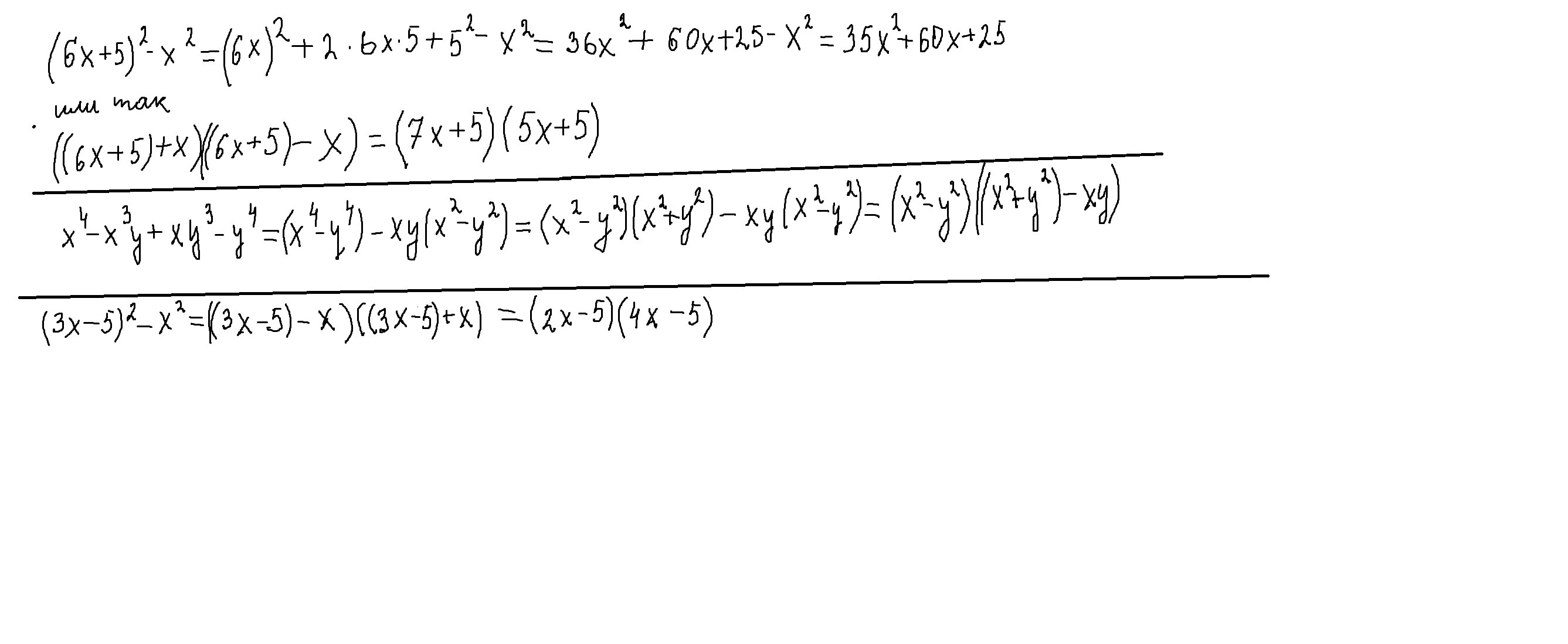
а²-в²=(а-в)(а+в),поэтому так же сделала решение 1 примера
посмотри внизу,я же по казахски не понимаю и по последнему заданию подумала,что надо все таки разложить на множители применив формулу
а²-в²=(а-в)(а+в),поэтому так же сделала решение 1 примера
Приложения:
Ответ дал:
0
спасибо
Ответ дал:
0
2 пример когда напишешь,я просто не вижу.
Ответ дал:
0
а) (6х+5)²-х². б) х⁴-х³у+ху³-у⁴
Вас заинтересует
2 года назад
2 года назад
3 года назад
3 года назад
9 лет назад
9 лет назад
10 лет назад
10 лет назад