Ответы
Ответ дал:
0
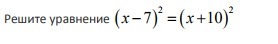
х^2 – 14х + 49 = х^2 + 20х + 100
– 14х + 49 = 20х + 100
– 14х – 20х = 100 – 49
– 34х = 51
х = – 3/2
х = – 1 1/2
– 14х + 49 = 20х + 100
– 14х – 20х = 100 – 49
– 34х = 51
х = – 3/2
х = – 1 1/2
Ответ дал:
0
а потом x=1.5
Вас заинтересует
2 года назад
3 года назад
3 года назад
9 лет назад
9 лет назад
10 лет назад