1)4 sinx*cosx=√3
2)cos^4x-sin^4x=1
3)sin^2x-cos^2x=√2/2
4) 2cos^2x-5cosx=3
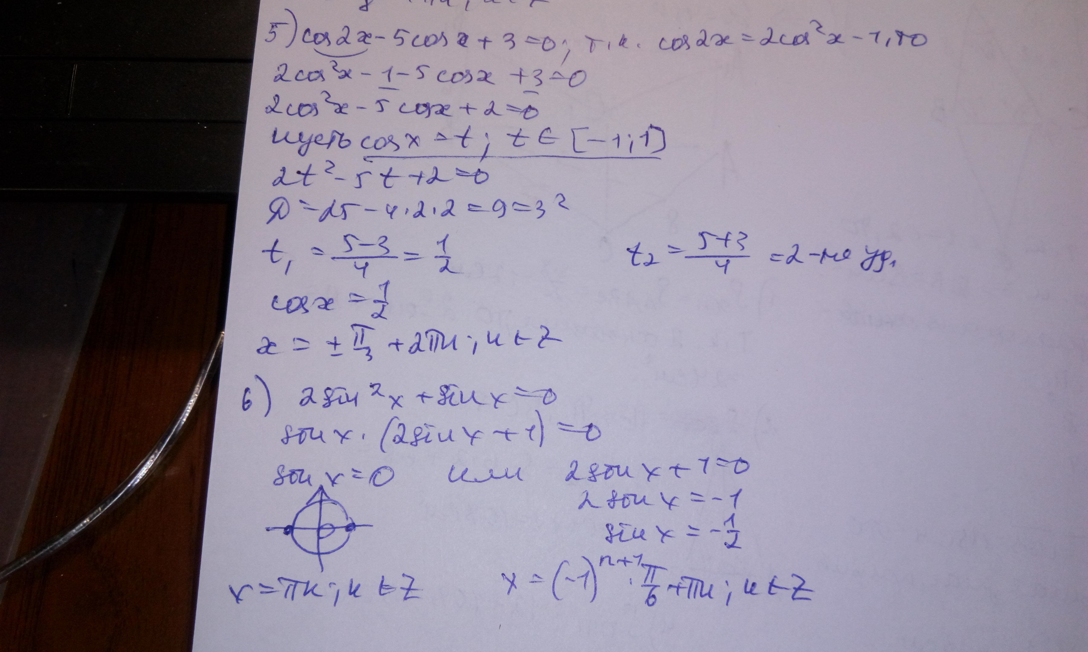
5)cos2x-5cosx+3=0
6)2sin^x+sinx=0
пишите пож какую формулу используете, если не трудно)
Ответы
Ответ дал:
0
Всё подробно написала в решении.
Приложения:


Вас заинтересует
2 года назад
2 года назад
3 года назад
3 года назад
9 лет назад