• Предмет: Алгебра
  • Автор: 15kristina
  • Вопрос задан 9 лет назад

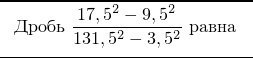
Пожалуйста, помогите решить

Приложения:

Ответы

Ответ дал: Avgustinochka13
0
Вообще скачай Photomath и не мучайся.
Вас заинтересует