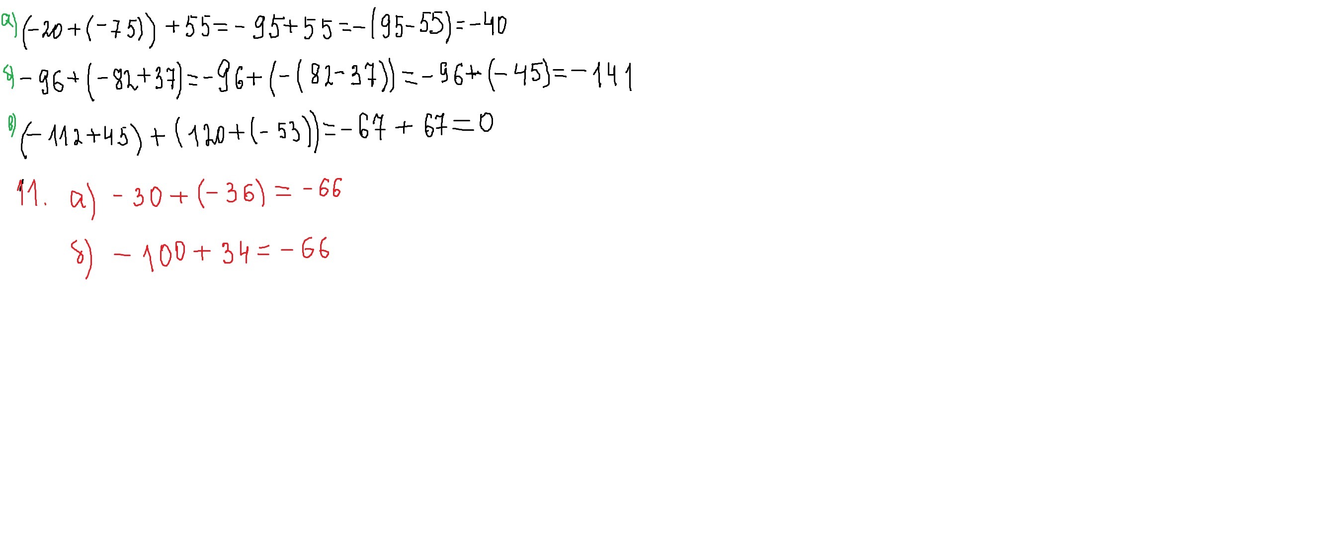
10. Сложите:
а) сумму чисел -20 и -75 с числом 55;
б) число -96 с суммой чисел -82 и 37;
в) сумму чисел -112 и 45 с суммой чисел 120 и -53
11. Запишите число -66 в виде суммы:
а) двух отрицательных чисел;
б) положительного и отрицательного чисел.
Ответы
Ответ дал:
0
решение смотри внизу
Приложения:

Вас заинтересует
2 года назад
3 года назад
3 года назад
9 лет назад
9 лет назад
10 лет назад