• Предмет: Алгебра
  • Автор: Boltunovamaruia
  • Вопрос задан 9 лет назад

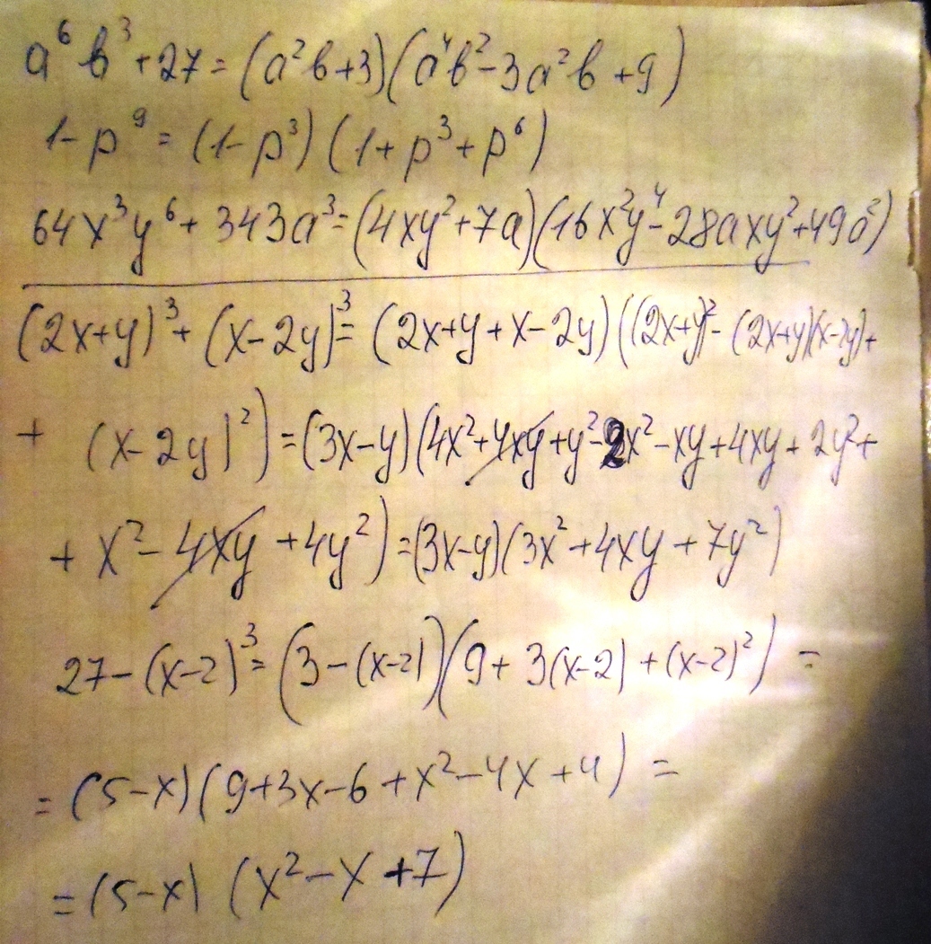
Представьте в виде произведения.
1)a^6*b^3+27
2)1-p^9
3)64x^3*y^6+343a^3
------------------------------------------------------------------------
Разложите на множители
1)(2x+y)^3+(x-2y)^3
2)27-(x-2)^3
-------------------------------------------------------------------------
^2- во 2 степени.
Помогите пожалуйста, очень прошу! Срочно!!!!

Ответы

Ответ дал: miron2077
0
!!!!!!!!!!!!!!!!!!!!!!
Приложения:
Вас заинтересует