В параллелограмма ABCD даны стороны AB=8см,AD=3√3см и ∠А=60°.Найдите диагонали параллелограмма и его площадь.
Ответы
Ответ дал:
0
1)Площадь параллелограмма равна произведению смежных сторон на синус угла между ними и
S = 8 см•3√3см•√3/2 = 12•3 см²= 36 см²
2)Тупой угол параллелограмма равен 180-60=120 градусов
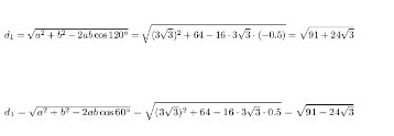
По теореме косинусов имеем, что
(смотри вложение).
S = 8 см•3√3см•√3/2 = 12•3 см²= 36 см²
2)Тупой угол параллелограмма равен 180-60=120 градусов
По теореме косинусов имеем, что
(смотри вложение).
Приложения:

Вас заинтересует
2 года назад
2 года назад
3 года назад
9 лет назад
10 лет назад
10 лет назад