Помогите срочно
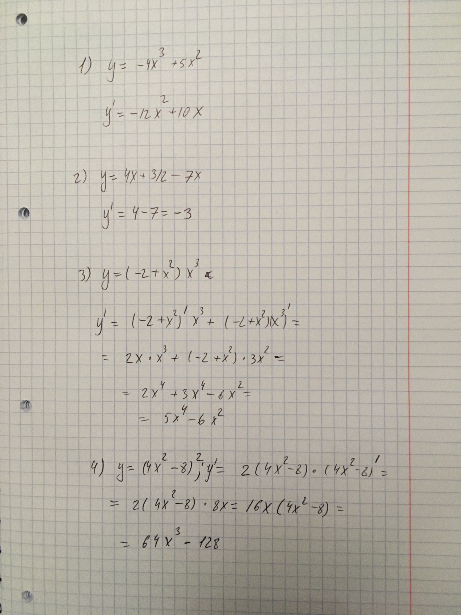
Найти производную функции
1. y=-4x^3+5x^2
2. y=4x+3/2-7x
3. y=(-2+x^2)x^3
4. y=(4x^2-8)^2
Ответы
Ответ дал:
0
Смотри на фотографии
Приложения:

Вас заинтересует
2 года назад
3 года назад
9 лет назад
9 лет назад
10 лет назад
10 лет назад