Ответы
Ответ дал:
0
begin
var a, b, x, y: real;
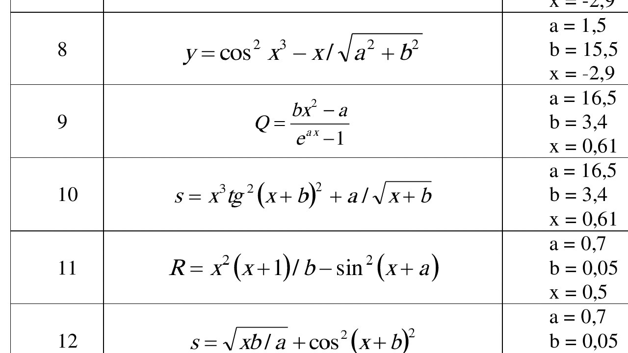
a := 1.5;
b := 15.5;
x := -2.9;
y := sqr(Cos(sqr(x)*x)) - x/(sqrt(sqr(a)+sqr(b)));
write(y);
end.
var a, b, x, y: real;
a := 1.5;
b := 15.5;
x := -2.9;
y := sqr(Cos(sqr(x)*x)) - x/(sqrt(sqr(a)+sqr(b)));
write(y);
end.
Ответ дал:
0
abc - это не о чем.
Ответ дал:
0
В первом нельзя писать var после begin
Ответ дал:
0
Это на PascalABC.NET
Вас заинтересует
2 года назад
2 года назад
3 года назад
3 года назад
9 лет назад
9 лет назад