Помогите пожалуйста. Очень нужно! Вычислите дискриминант уравнения, определите, имеет ли уравнение решение на множестве R. Найдите эти решения, в случае, если они существуют:
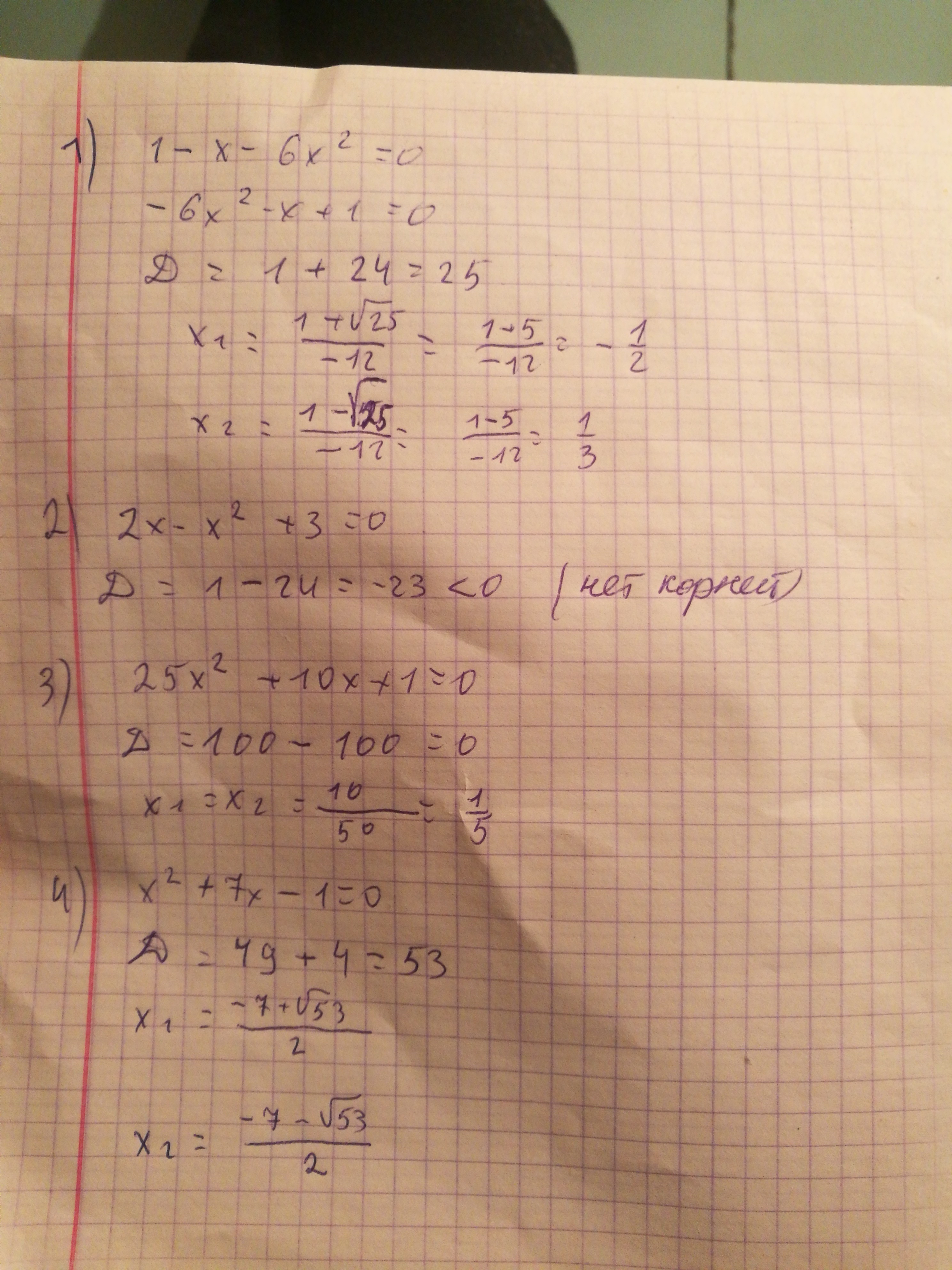
а) 1-x-6x^2=0;
б) 2x-x^2+3=0;
в) 25x^2+10x+1=0;
г) x^2+7x-1=0.
Заранее спасибо большое. Буду очень благодарен, жду ответа!!! УМОЛЯЮ. ПОЖАЛУЙСТА!!!
Ответы
Ответ дал:
0
Вот, проверь последнее, не совсем красивый ответ.
Приложения:

Ответ дал:
0
Спасибо огромное. Ты мне очень помогла. Я очень тебе благодарень. Спасибо огромное!!!
Ответ дал:
0
Большое спасибо!!!
Ответ дал:
0
Пожалуйста.
Вас заинтересует
2 года назад
3 года назад
9 лет назад
9 лет назад
10 лет назад
10 лет назад