Ответы
Ответ дал:
0
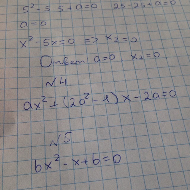
ax²+(2a²-1)x-2a=0
ОДЗ: а≠0
D=b²-4ac
a=a
b=2a²-1
c=-2a
D = (2a²-1)²-4·a·(-2a) = 4a⁴-4a²+1+8a² = 4a⁴+4a²+1 = (2a²+1)²
√D=√(2a²+1)² = 2a²+1
x₁ = (-2a²+1+2a²+1)/2a = 2/2a= 1/a
х₂ = (-2a²+1-2a²-1)/2a = -4а²/2a= -2a
Ответ: x₁ = 1/a
х₂ = - 2a
ОДЗ: а≠0
D=b²-4ac
a=a
b=2a²-1
c=-2a
D = (2a²-1)²-4·a·(-2a) = 4a⁴-4a²+1+8a² = 4a⁴+4a²+1 = (2a²+1)²
√D=√(2a²+1)² = 2a²+1
x₁ = (-2a²+1+2a²+1)/2a = 2/2a= 1/a
х₂ = (-2a²+1-2a²-1)/2a = -4а²/2a= -2a
Ответ: x₁ = 1/a
х₂ = - 2a
Вас заинтересует
2 года назад
2 года назад
3 года назад
9 лет назад
10 лет назад