Помогите решить цепочки превращений:
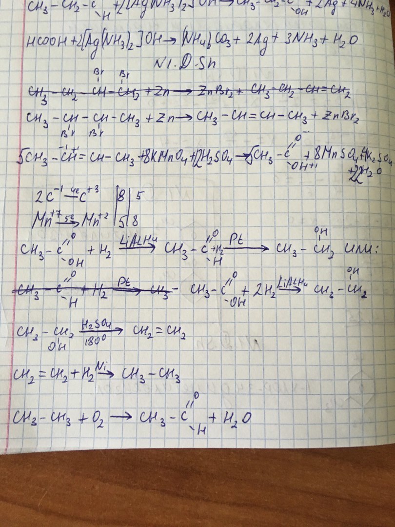
1) Дигалогеналкан -> бутен 2 -> уксусная кислота -> X ->этан -> этилен -> этиленгликоль
2)галогеналкан -> бутен 1 -> ...- >бутен 2 -> ... ->изобутан -> ...- >ацетон
3) Дигалогеналкан -> алкен -> спирт -> алкен -> галогеналкан -> гексан
составьте уравнения реакций,соответствующих схеме : A -> B-> C-> D
Буквами обозначены алкан,алкен,галогеналкан,нитроалкан
Ответы
Ответ дал:
0
Дальше думать надо((
Приложения:


Вас заинтересует
2 года назад
2 года назад
3 года назад
3 года назад
10 лет назад