Ответы
Ответ дал:
0
2
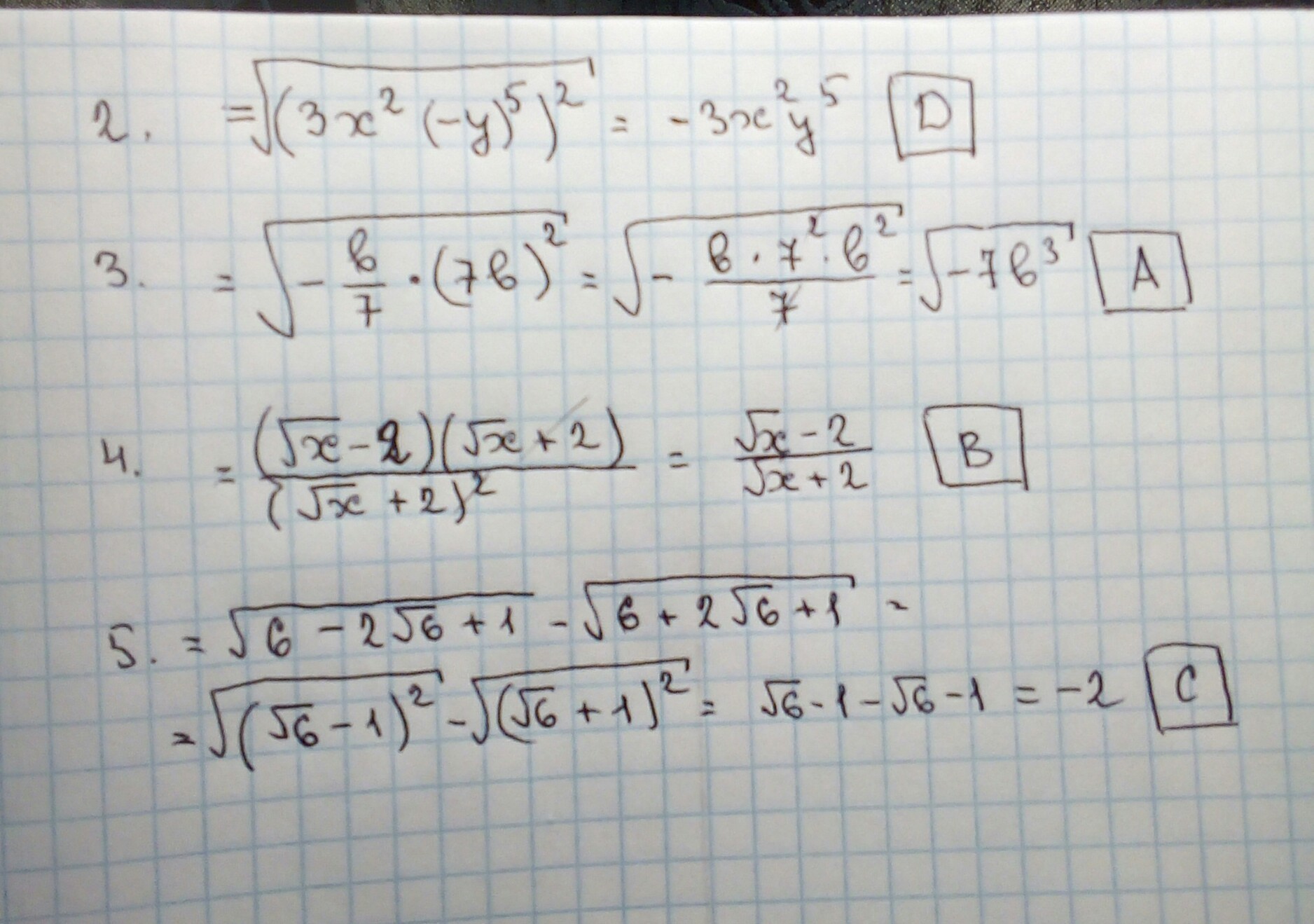
Ответ D)-3x²y^5
3
Ответ A)-√(-7b³)
4
(√x-2)(√x+2)/(√x+2)²=(√x-2)/(√x+2)
Ответ В
5
√(√6-1)²-√(√6+1)²√6-1|_|√6|1|=√6-1-√6-1=-2
Ответ С
Ответ D)-3x²y^5
3
Ответ A)-√(-7b³)
4
(√x-2)(√x+2)/(√x+2)²=(√x-2)/(√x+2)
Ответ В
5
√(√6-1)²-√(√6+1)²√6-1|_|√6|1|=√6-1-√6-1=-2
Ответ С
Ответ дал:
0
Спасибо большое))
Ответ дал:
0
фоточка тебе в помощь ;)
Приложения:

Ответ дал:
0
Спасибо большое))
Вас заинтересует
2 года назад
3 года назад
9 лет назад
10 лет назад