Ответы
Ответ дал:
0
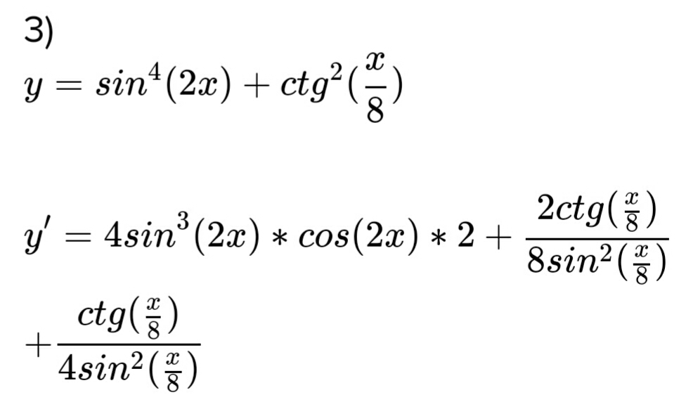
3) 
1)верное, и упрощать там больше нечего
1)верное, и упрощать там больше нечего
Вас заинтересует
2 года назад
3 года назад
9 лет назад
10 лет назад