Решите уравнение . х(во второй)-х-6=0
Если корней несколько, запишите их в ответ без пробелов в порядке возрастания.
Ответы
Ответ дал:
0
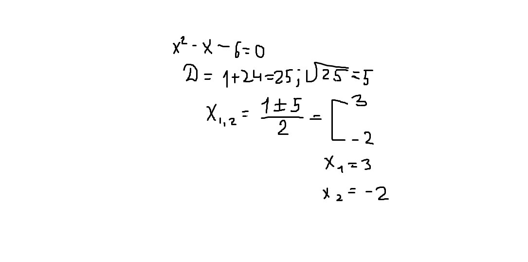
решение во вложении
надеюсь понятно написала
надеюсь понятно написала
Приложения:

Ответ дал:
0
D=1+4*6=25Корень равно 5
x1=1-5/2=-2
x2=1+5/2=3
Ответ -23
x1=1-5/2=-2
x2=1+5/2=3
Ответ -23
Приложения:

Вас заинтересует
2 года назад
3 года назад
3 года назад
9 лет назад
9 лет назад
9 лет назад