• Предмет: Математика
  • Автор: mukhaye80
  • Вопрос задан 9 лет назад

1.Вычислите: а) 23, 6 – (4,5 + 12,65) – 3,7; б) 18 – 10,5 : 25 + 5
2. Катер проплыл 24 км по течению за 1,2 ч, а против течения он проплыл это расстояние за 1,6 ч. Найдите скорость течения.
3. Бригада рабочих в составе 5 человек за t дней заработала s р. Каков средний дневной заработок члена бригады, если известно, что заработные деньги они поделили поровну? Сколько получил каждый за день работы, если t = 8, s = 22000?
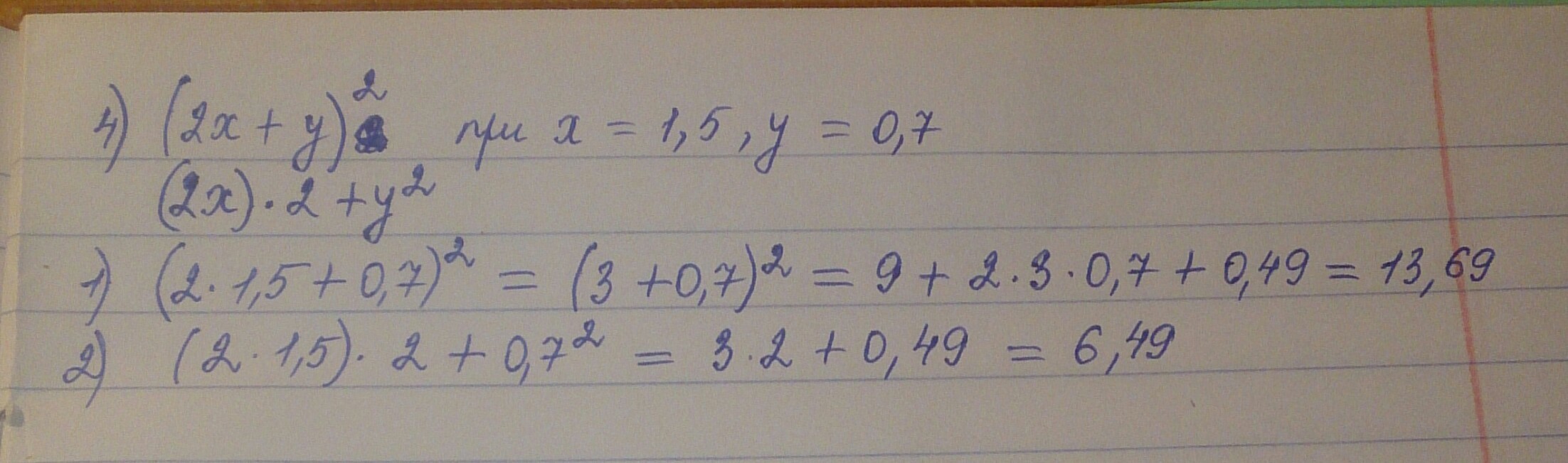
4. Найдите числовые значения выражений: (2х + у)2 и (2х)2 + у2 при х = 1,5, у = 0,7
Обязательно в задачах пишем условие и ответ, а примеры решаем по действиям!!!

Ответы

Ответ дал: arystan20004
0
Привет. вроде все правильно, если что, пиши в комменты
Приложения:
Ответ дал: arystan20004
0
первые три решения не загрузились, попробую скинуть
Ответ дал: arystan20004
0
выйду на меня по ватсап, скину решение, телефон +77718585505
Ответ дал: arystan20004
0
выйди
Вас заинтересует