Ответы
Ответ дал:
0
Умножение корней с множителями
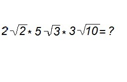
Множитель- это число, стоящее перед знаком корня.Сначала перемножаются множители,а затем подкоренные выражения.Значения под конем можно тоже разложить на множители и вынести за корень,если из множителей возможно извлечь корень.


Множитель- это число, стоящее перед знаком корня.Сначала перемножаются множители,а затем подкоренные выражения.Значения под конем можно тоже разложить на множители и вынести за корень,если из множителей возможно извлечь корень.
Ответ дал:
0
Огромное вам спасибо)))
Ответ дал:
0
2√2*5√3*3√10=2*5*3*√(2*3*10)=30√60=30*2√15=60√15
Вас заинтересует
2 года назад
3 года назад
3 года назад
9 лет назад
9 лет назад
10 лет назад