• Предмет: Алгебра
  • Автор: ДженниЛенни
  • Вопрос задан 9 лет назад

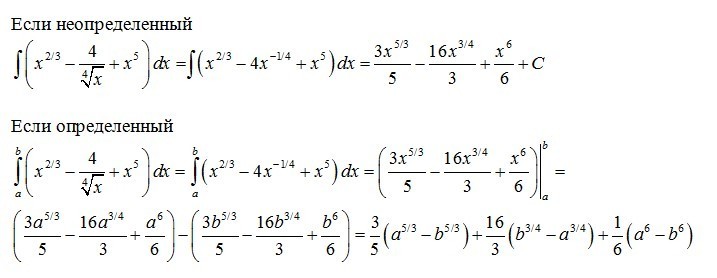
Найдите неопределенный интеграл
в)  intlimits^a_b {( x^{2/3} -  frac{4}{ sqrt[4]{x}} +  x^{5})  } , dx

Ответы

Ответ дал: justcall
0
Либо это неопределенный интеграл (тогда зачем даны пределы интегрирования), либо определенный  (тогда к чему этот заголовок?)
Приложения:
Вас заинтересует