• Предмет: Алгебра
  • Автор: Дария008
  • Вопрос задан 9 лет назад

ПОМОГИТЕ ПОЖАЛУЙСТА ДАЮ 15 БАЛЛОВ

Приложения:

Ответы

Ответ дал: justcall
0
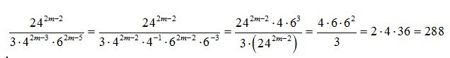
скорее всего, там не 34, а 3 · 4
Приложения:
Вас заинтересует