• Предмет: Математика
  • Автор: dihinbulat
  • Вопрос задан 9 лет назад

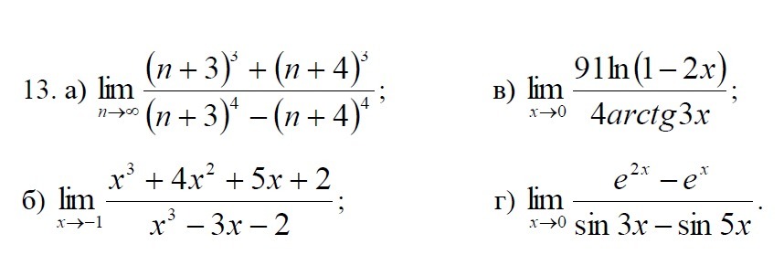
Вычислить пределы, используя правило Лопиталя.

Приложения:

Ответы

Ответ дал: HSS9860
0
Посмотрите предложенное решение. Оформление не соблюдалось.
Приложения:
Ответ дал: dihinbulat
0
https://znanija.com/task/28377858
можте это сделать?
Ответ дал: HSS9860
0
Сделано, там неопределённости нет, поэтому самый быстрый путь - вычислить при х=1.
Вас заинтересует