• Предмет: Физика
  • Автор: MrMigro
  • Вопрос задан 9 лет назад

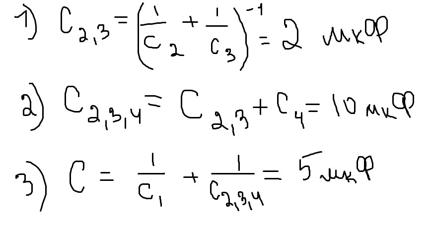
Рассчитать общую емкость батареи конденсаторов
С1 =10мкФ
С2 =6мкФ
С3 =3мкф
С4 =8мкф

Приложения:

Ответы

Ответ дал: burang4p2gb8r
0
В общем, как-то так. Только расчеты перепроверь
Приложения:
Ответ дал: burang4p2gb8r
0
Там в последней формуле тоже степень -1, забыл написать)
Вас заинтересует