Ответы
Ответ дал:
0
РЕШЕНИЕ
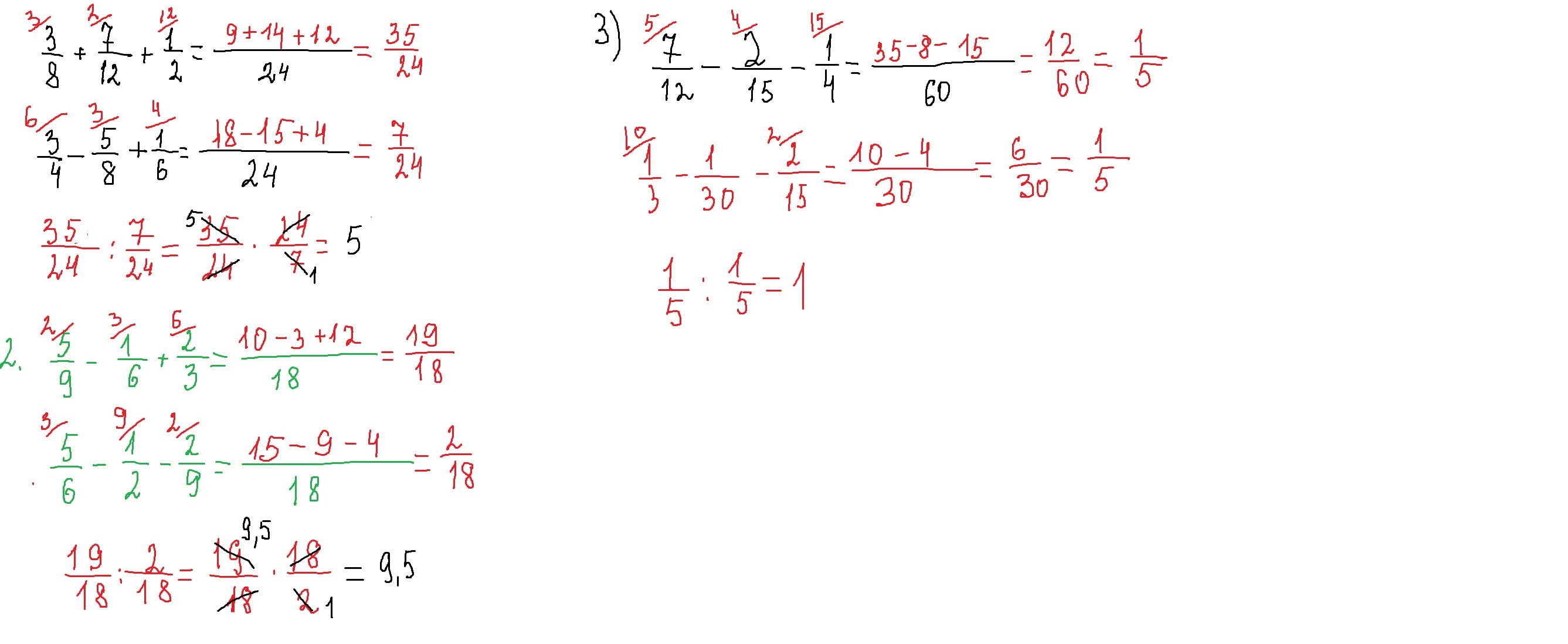
Приводим дроби и числителя и знаменателя к одному общему знаменателю
1) НОК = 24.
(9+14+12)/(18-15+4) = 35/7 = 5 - ОТВЕТ
2) НОК = 18
(10-3+12)/(15-9-4) = 19/2 = 9 1/2 - ОТВЕТ
3) НОК = 60
(35-8-15)/(20-2-8) = 12/10 = 1 1/5 - ОТВЕТ
Приводим дроби и числителя и знаменателя к одному общему знаменателю
1) НОК = 24.
(9+14+12)/(18-15+4) = 35/7 = 5 - ОТВЕТ
2) НОК = 18
(10-3+12)/(15-9-4) = 19/2 = 9 1/2 - ОТВЕТ
3) НОК = 60
(35-8-15)/(20-2-8) = 12/10 = 1 1/5 - ОТВЕТ
Ответ дал:
0
решаем отдельно числитель,потом знаменатель,а потом выполняем деление
Приложения:
Вас заинтересует
2 года назад
2 года назад
3 года назад
3 года назад
9 лет назад
9 лет назад