• Предмет: Алгебра
  • Автор: jannylane
  • Вопрос задан 9 лет назад

РЕШИТЕ ИНТЕГРАЛ! спасайте!ЗАРАНЕЕ СПАСИбо!

Приложения:

Ответы

Ответ дал: justcall
0
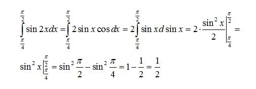
надо синус двойного угла разложить по формуле и внести косинус под знак дифференциала
Приложения:
Вас заинтересует