• Предмет: Алгебра
  • Автор: sashokvkn1
  • Вопрос задан 9 лет назад

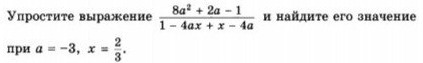
помогите решить пример по алгебре 8 класс

Приложения:

Ответы

Ответ дал: sofiyavictoria
0

Преобразуем числитель (4a^2+2a)+(4a^2-1)=2a*(2a+1)+(2a+1)*(2a-1)=

(2a+1)(2a+2a-1)=(2a+1)*(4a-1).

1-4ax+x-4a=(1-4a)-x(4a-1)=(1-4a)+x(1-4a)=(1-4a)*(1+x)

(2a+1)*(4a-1)/(1-4a)*(1+x)=-(2a+1)/(1+x)=-(-6+1)/(1+2/3)=5:1 2/3=5:5/3=5*3/5=3

Ответ дал: sashokvkn1
0
спасибо
Вас заинтересует