• Предмет: Математика
  • Автор: LuckyShot323
  • Вопрос задан 8 лет назад

Помогите решить СРОЧНО:
|||2x+5|+2|-5|=6

Ответы

Ответ дал: Trover
0
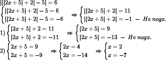
|||2x+5|+2|-5|=6\begin{cases}||2x+5|+2|-5=6\||2x+5|+2|-5=-6end{cases}Rightarrowbegin{cases}||2x+5|+2|=11\||2x+5|+2|=-1;-;He;nogx.end{cases}\1)begin{cases}|2x+5|+2=11\|2x+5|+2=-11end{cases}Rightarrowbegin{cases}|2x+5|=9\|2x+5|=-13;-;He;nogx.end{cases}\2)begin{cases}2x+5=9\2x+5=-9end{cases}Rightarrowbegin{cases}2x=4\2x=-14end{cases}Rightarrowbegin{cases}x=2\x=-7end{cases}
Приложения:
Ответ дал: LuckyShot323
0
спасибо
Вас заинтересует