Ответы
Ответ дал:
0
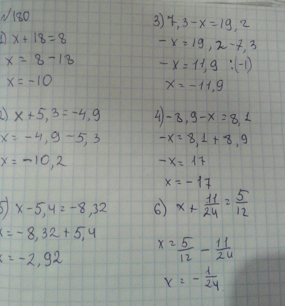
номер 181.
1) 31
2)-3,6
3)2,91
4)13.61
1) 31
2)-3,6
3)2,91
4)13.61
Приложения:

Ответ дал:
0
спасибо,спасибо,сппсибо.СПАСИБО!!!
Ответ дал:
0
а в 5 и 6 что?
Вас заинтересует
2 года назад
2 года назад
3 года назад
3 года назад
9 лет назад
9 лет назад
10 лет назад
10 лет назад