• Предмет: Математика
  • Автор: Stepanxo
  • Вопрос задан 9 лет назад

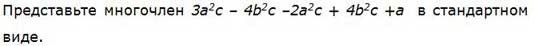
срочно плз !!!!!!!!!!!!!!!!!!!!!!!!!!!!!!!!!!!!!!!!!!!!!!

Приложения:

Ответы

Ответ дал: tatsach
0
........................
Приложения:
Вас заинтересует