• Предмет: Математика
  • Автор: карпеева16
  • Вопрос задан 8 лет назад

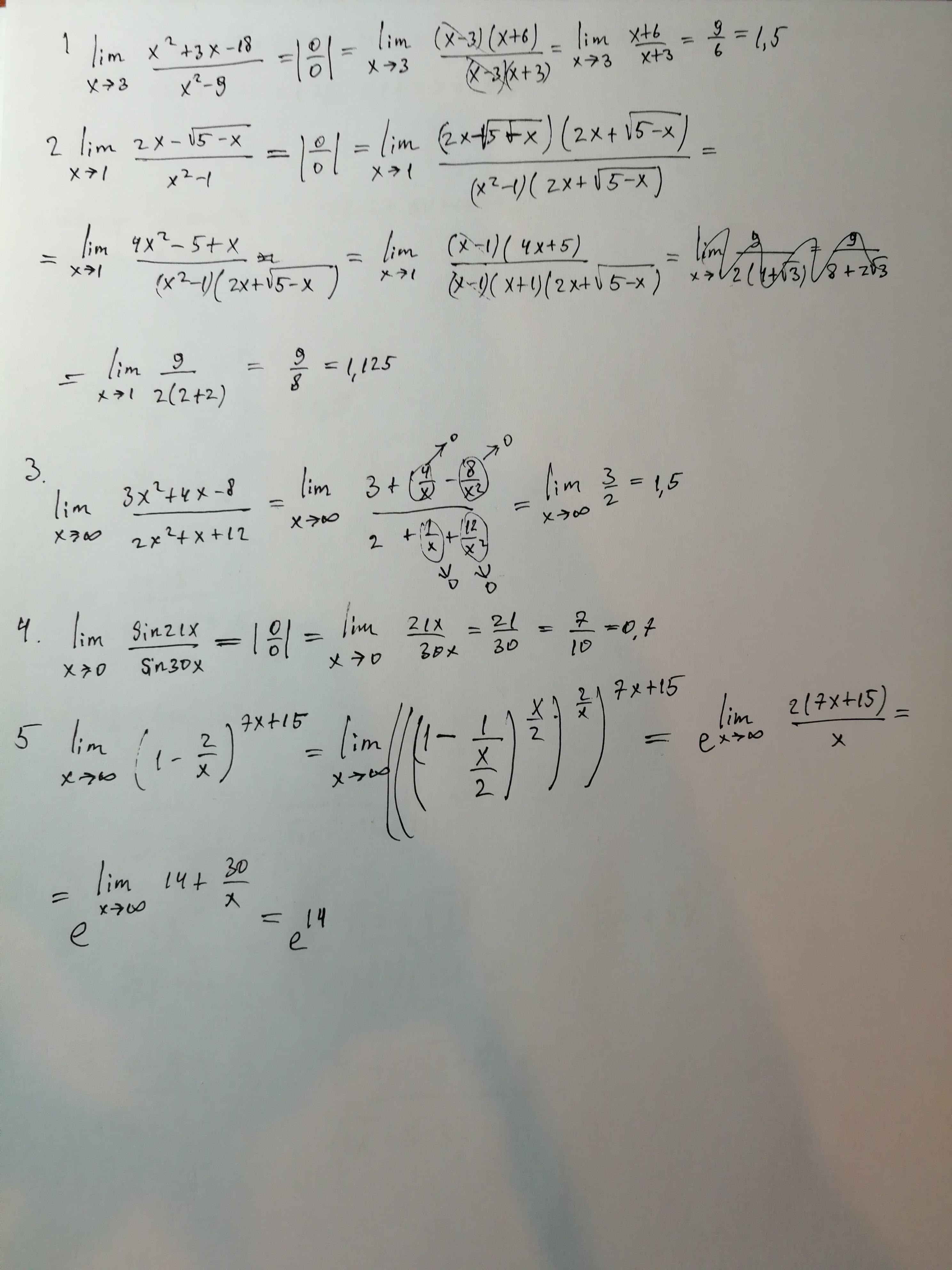
вычислить пределы функций с решением

Приложения:

Ответы

Ответ дал: flutterputter237
0
Балщмьуощащаташмшмщплаоша)
Приложения:
Вас заинтересует