Ответы
Ответ дал:
0
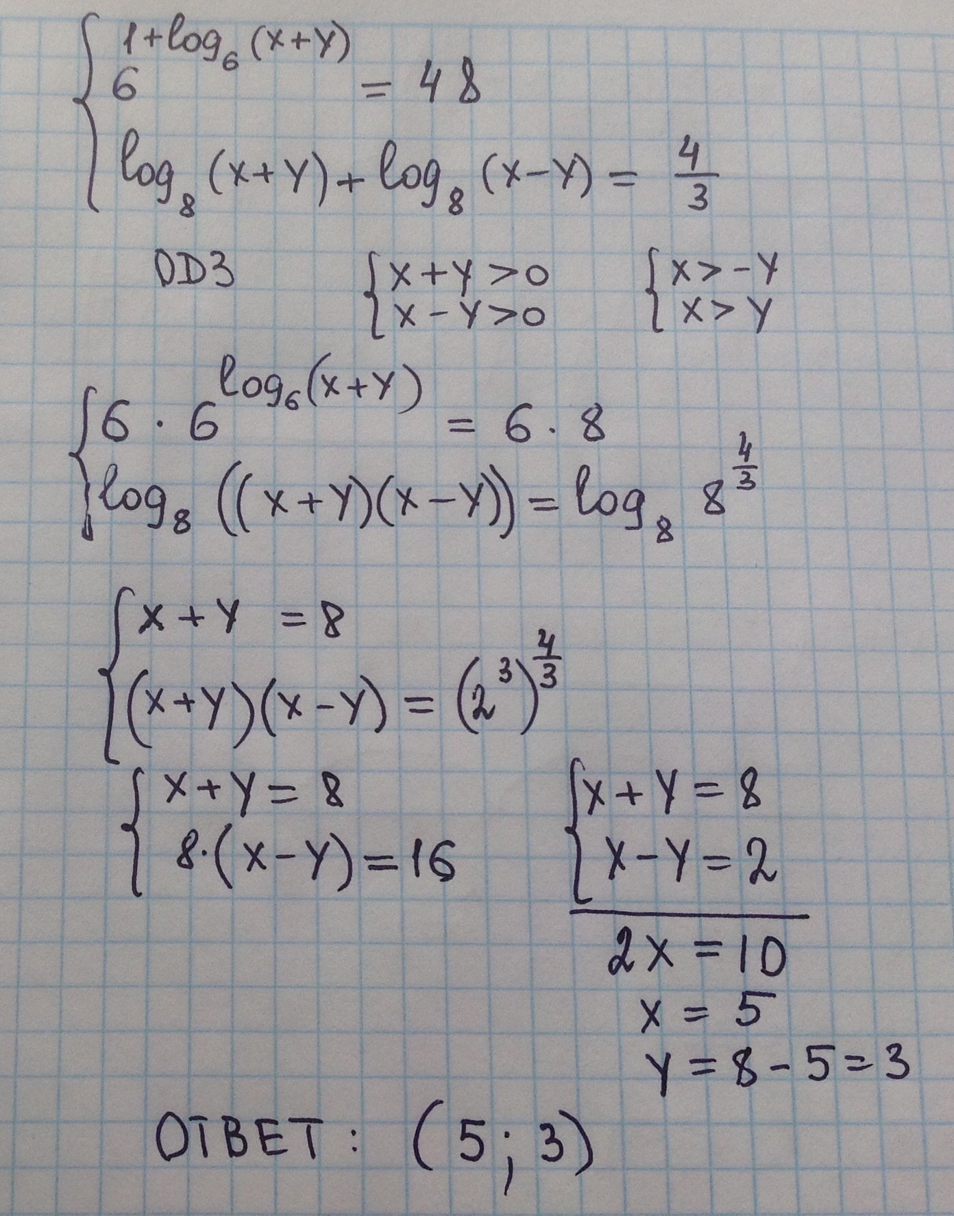
6^(1+log6(x+y))=48⇒6*6^(log(6)(x+y)=48⇒6*(x+y)=48⇒x+y=8
log8(x+y)+log8(x-y)=4/3⇒log(8)[(x+y)(x-y)]=4/3⇒(x+y)(x-y)=16⇒x-y=2
прибавим
2x=10
x=5
5=y=8
y=3
(5;3)
log8(x+y)+log8(x-y)=4/3⇒log(8)[(x+y)(x-y)]=4/3⇒(x+y)(x-y)=16⇒x-y=2
прибавим
2x=10
x=5
5=y=8
y=3
(5;3)
Ответ дал:
0
Фффффффффффффффффффффффффффффффф
Приложения:

Вас заинтересует
2 года назад
3 года назад
3 года назад
9 лет назад
10 лет назад