• Предмет: Физика
  • Автор: Shdnk0
  • Вопрос задан 9 лет назад

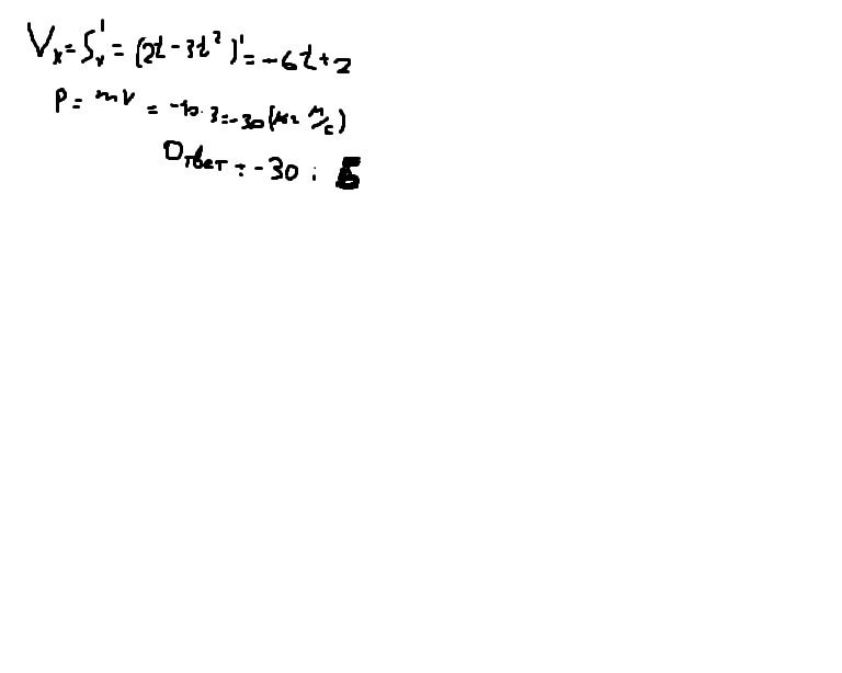
Sx=2t-3t2
Обчисліть імпульс тіла чеех 2с після початку руху. Маса тіла становить 3 кг.
A-12 кг (м/с)
Б-30 кг (м/с)
В- 36кг (м/с)
Г- 42 кг (м/с)

Ответы

Ответ дал: webergangpoisonwind
0
vx=sx`=-6t+2
vx(2)=-10m/s
p(2)=(mv^2)/2=-10*3=-30
Приложения:
Ответ дал: Shdnk0
0
Это не минус, а тире
Ответ дал: webergangpoisonwind
0
ну значит, по модулю импульс . 30кгм/с
Вас заинтересует