• Предмет: Математика
  • Автор: vertebrid
  • Вопрос задан 9 лет назад

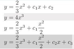
Общим решением дифференциального уравнения y′′′ = 4 является ?
(нужно выбрать одно из четырёх, указанных на приложенном рисунке).


Приложения:

Ответа на этот вопрос пока нет. Попробуйте найти его через форму поиска.

Вас заинтересует