Ответы
Ответ дал:
0
Фффффффффффффффффффффффффффффффф
Приложения:
Ответ дал:
0
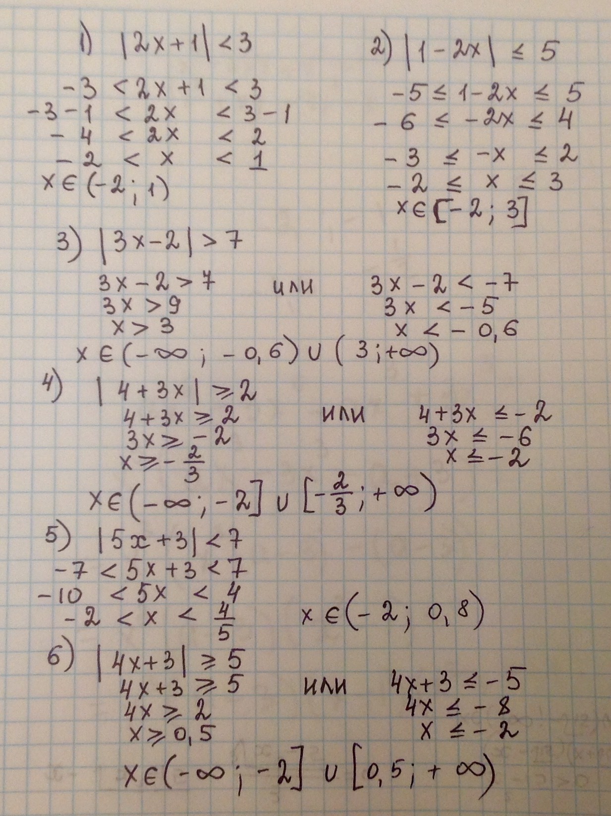
1
-3<2x+1<3
-4<2x<2
-2<x<1
x∈(-2;1)
2
-5≤1-2x≤5
-6≤-2x≤4
-2≤x≤3
x∈[-2;3]
3
3x-2<-7 U 3x-2>7
3x<-5 U 3x>9
x<-5/3 U x>3
x∈(-∞;-5/3) U (7;∞)
4
4+3x≤-2 U 4+3x≥2
3x≤-6 U 3x≥-2
x≤-2 U x≥-2/3
x∈(-∞;-2] U [-2/3;∞)
5
-7<5x+3<7
-10<5x<4
-2<x<0,8
x∈(-2;0,8)
6
4x+3≤-5 U 4x+3≥5
4x≤-8 U 4x≥2
x≤-2 U x≥0,5
x∈(-∞;-2] U [0,5;∞)
-3<2x+1<3
-4<2x<2
-2<x<1
x∈(-2;1)
2
-5≤1-2x≤5
-6≤-2x≤4
-2≤x≤3
x∈[-2;3]
3
3x-2<-7 U 3x-2>7
3x<-5 U 3x>9
x<-5/3 U x>3
x∈(-∞;-5/3) U (7;∞)
4
4+3x≤-2 U 4+3x≥2
3x≤-6 U 3x≥-2
x≤-2 U x≥-2/3
x∈(-∞;-2] U [-2/3;∞)
5
-7<5x+3<7
-10<5x<4
-2<x<0,8
x∈(-2;0,8)
6
4x+3≤-5 U 4x+3≥5
4x≤-8 U 4x≥2
x≤-2 U x≥0,5
x∈(-∞;-2] U [0,5;∞)
Приложения:
Вас заинтересует
9 лет назад
9 лет назад
10 лет назад
10 лет назад