Ответы
Ответ дал:
1
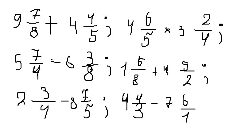
Девять целых семь восьмых плюс четыре целых четыре пятых.,четыре целых шесть пятых умножить на три целых две четвёртых.,пять целых семь четвертых минус шесть целых три восьмых.,одна целая шесть восьмых плюс четыре целых девять вторых.,две целых три четвёртых минус восемь целых семь пятых.,четыре целых четыре третих минус семь целых шесть первых
Вас заинтересует
2 года назад
2 года назад
2 года назад
2 года назад
3 года назад
9 лет назад
9 лет назад