• Предмет: Математика
  • Автор: Dipper17
  • Вопрос задан 9 лет назад

По действиям!

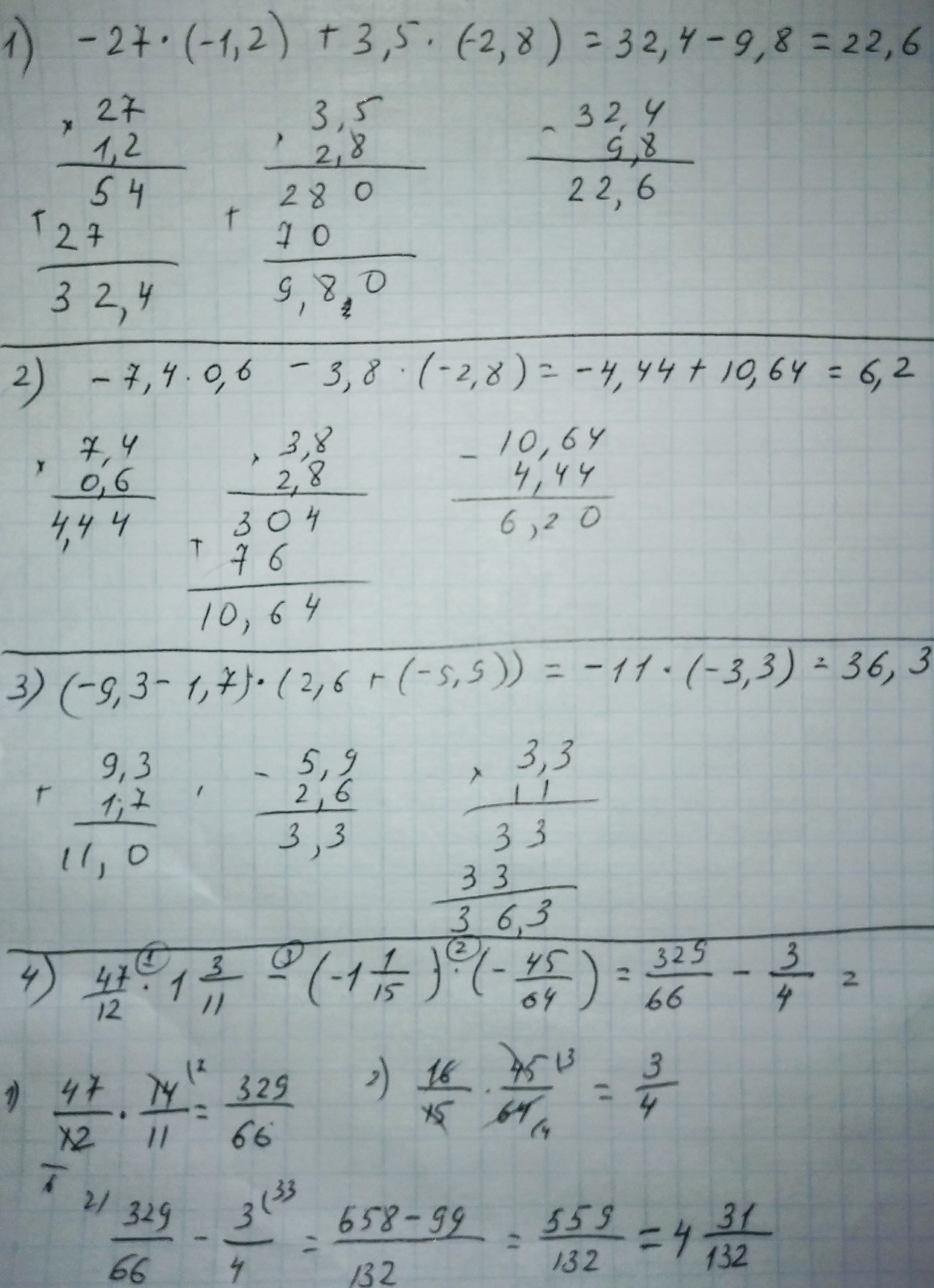
1.
-27 * (-1,2) + 3,5 * (-2,8)
2,
-7,4 * 0,6 - 3,8 * (-2,8)
3.
(-9,3 - 1,7) * (2,6 + (-5,9))
4.
47/12 * (1 3/11 ) - (-1 1/15) * (-45/64)

Сноски:
* - умножение
/ - дробь

Ответы

Ответ дал: aliyas1
0
Решение во вложенном файле
Приложения:
Вас заинтересует